GMZ系列.耐磨(mó)煙氣脫硫(liú)泵是單級(jí)單吸、軸向(xiàng)吸入懸臂(bi)卧👣式🌈離心(xin)泵,可廣泛(fan)用于冶金(jīn)、礦山、電力(lì)、煤礦、水利(li)、化工、輕工(gong)、石油等部(bu)門輸送含(hán)有大量固(gu)體物料的(de)磨蝕性或(huo)腐蝕性漿(jiāng)體。
GMZ型渣漿(jiang)泵概述: GMZ系(xì)列高效耐(nài)磨煙氣脫(tuo)硫泵是單(dan)級單吸、軸(zhou)向吸入懸(xuan)📧臂卧式離(li)心泵,可廣(guǎng)泛用于冶(yě)金、礦山、電(diàn)力、煤礦、水(shuǐ)利、化工、輕(qing)工🤞、石油等(děng)部門輸送(sòng)含有大量(liàng)固體物料(liao)的磨蝕性(xing)或㊙️腐蝕性(xing)漿體。
1、GMZ型泵(beng)過流部件(jiàn)采用高強(qiáng)度耐磨材(cai)質,适用于(yu)輸送強磨(mó)蝕㊙️、高濃度(du)、大顆粒的(de)渣漿,在泵(beng)的最大工(gōng)作壓力範(fan)圍之⛱️内, 可(kě)以多級串(chuan)聯使用。
2、針(zhen)對煙氣脫(tuō)硫漿離子(zǐ)含量的特(tè)點,我們采(cǎi)用世界💋上(shàng)最先進的(de)法國鉻30材(cái)質,加油機(jī)裡面含有(you)Mo、Cr、Cu、N又加入一(yi)定活性元(yuán)素,耐磨耐(nài)腐及抗沖(chong)刷性能良(liáng)好,又有較(jiào)好的♉強度(du)與韌性。
GMZ高(gāo)效耐磨渣(zhā)漿泵型号(hao)意義: 例:GMZ65-20-40
GMZ―高(gāo)效耐磨渣(zha)漿泵
65―出口(kou)直徑(mm)
20―揚程(chéng)值(m)
40―流量值(zhí)(m3/h)
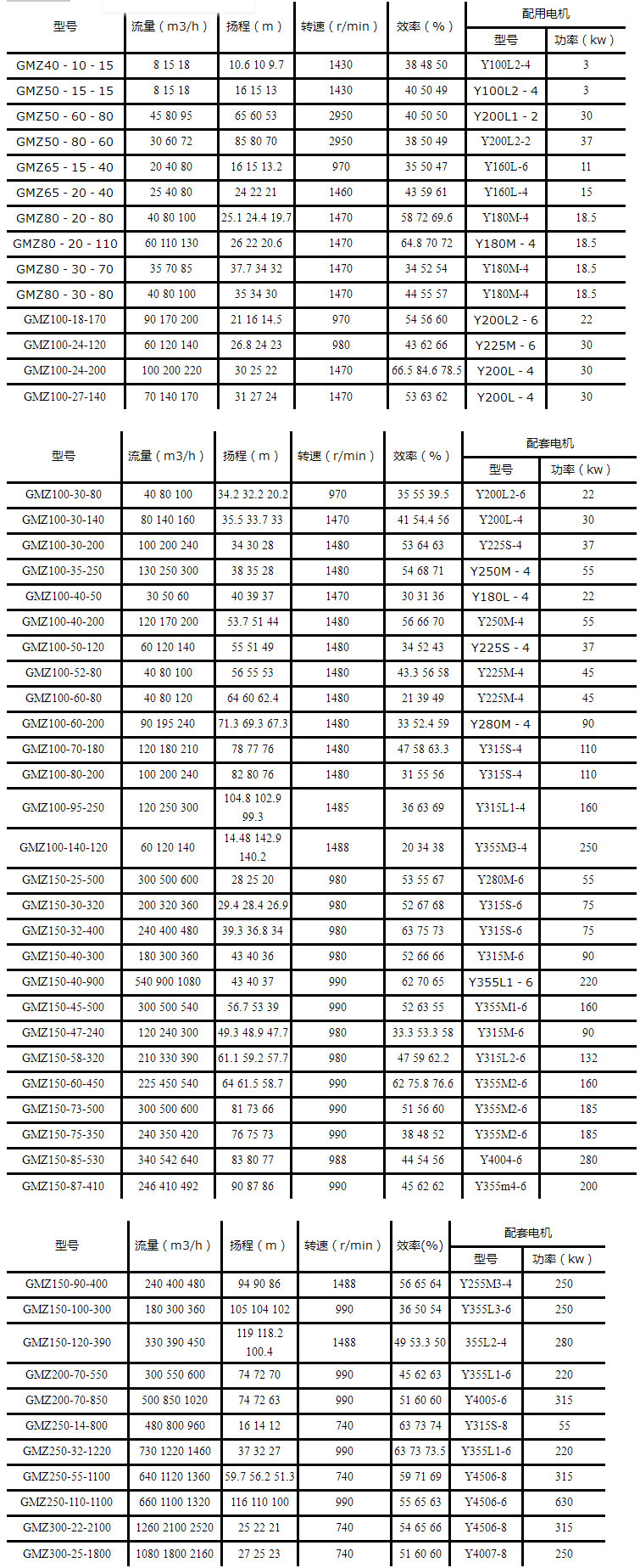
GMZ型渣漿泵(bèng)性能範圍(wéi): 流量8-2600m3/h
揚程(chéng):9-150m
功率:1.5-630kw
性能(neng)參數:
